Tensor Hypercontraction
Tensor Hypercontraction Coupled-Cluster
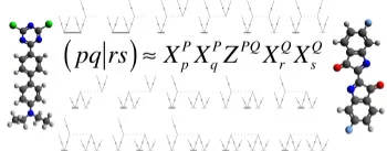
We are involved in the development of rank-reduced coupled cluster methods including quartic-scaling formulations of the CC2 and CCSD methods.
We are involved in the development of rank-reduced coupled cluster methods including quartic-scaling formulations of the CC2 and CCSD methods.